Испытание воздушных выключателей

    07.07.2010

    Воздушные выключатели являются наряду с масляными выключателями основными коммутационными аппаратами, устанавливаемые в распределительных устройствах, высотного напряжения для разрыва электрической цепи под нагрузкой и отключения токов короткого замыкания.

     

    Воздушные выключатели устанавливаются на ОРУ напряжением 330 кВ и выше. На ОРУ напряжением 35, 110 и 220 кВ они устанавливаются при отсутствии масляных выключателей необходимых параметров или по требованиям устойчивости системы электроснабжения.

     

    Воздушные выключатели выпускаются и эксплуатируются трех серий:

    - серия ВВБ с металлическими гасительными камерами;

    - серии ВНВ со стеклоэпоксидными гасительными камерами и с двойным модулем 220 кВ в отличие от выключателя ВВБ, которые имеют по конструкции гасительных камер модуль 110 кВ;

    - серии ВВ в закрытыми воздухонаполненными отделителями.

     

    Испытания и опробования воздушных выключателей необходимо проводить с соблюдением общих и специальных мер по технике безопасности. Персонал, выполняющий наладочные работы, должен находиться при испытаниях в защитном месте (испытательной лаборатории, передвижной мастерской и п.т.) не ближе в 15-20 м от крайней фазы. Доступ к выключателю, на котором ведутся испытания, отражают канатом в радиусе 50-60 м.

     

    Нормы приемо-сдаточных испытаний воздушных выключателей.

    Объем приемо-сдаточных испытаний воздушных выключателей.

    В соответствии с требованиями ПУЭ вводимые в эксплуатацию воздушные включатели подвергаются испытаниям в следующем объеме:

    1. Измерение сопротивления изоляции.

    а) опорных изоляторов гасительных камер и отделителей и изолирующих тяг выключателей всех каналов напряжений;

    б) вторичных цепей, обмоток электромагнитов включения и отключения.

     

    2. Испытание повышенным напряжением промышленной частоты.:

    а) изоляция выключателей;

    б) изоляция вторичных цепей и обмоток электромагнитов управления.

     

    3. Измерение сопротивления постоянному току:

    а) контактов воздушных выключателей всех классов напряжения;

    б) обмоток электромагнитов включения и отключения выключателей;

    в) делителей напряжения и шунтирующих резисторов выключателя.

     

    4. Проверка характеристик выключателя.

    5. Проверка срабатывания привода выключателя при пониженном напряжении.

    1.      Испытание выключателя многократным включением и отключением.

    2.      Испытание конденсаторов делителей напряжения воздушных выключателей.

    3.      Проверка хода якоря электромагнита управления.

     

    Измерение сопротивления изоляции:

    а) опорных изоляторов, изоляторов гасительных камер и отделителей и изолирующих тяг. Производится для выключения всех классов напряжений мегаомметром на напряжение 2,5 кВ или от источника напряжения выпрямленного тока.

     

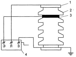
    В случае необходимости, особенно при измерениях в сырую погоду, для исключений влияния токов утечки на показания мегаомметра на внешней поверхности изоляторов устанавливаются охранные кольца (рис. 1),

     

    Предельные значения сопротивления изоляции приведены в табл. 1.

    Рис. 1. Схема измерения изоляции изоляторов с применением охряных колец:

    1 - металлический фланец; 2 - верхнее ребро изолятора; 3 - охранное кольцо; 4 - мегаомметр.

     

    Таблица 1. Наименьшее допустимое сопротивление опорной изоляции и изоляции подвижных частей воздушных выключателей

    Испытываемый объект

    Сопротивление изоляции, МОм, при номинальном напряжении выключателя, кВ

    до 15

    20-35

    110 и выше

    Опорный изолятор, воздухопровод и тяга (каждое в отдельности), изготовленные из фарфора

    1000

    5000

    5000

    Тяга, изготовленная из органических материалов

     

    3000

     

     

    б) вторичных цепей, обмоток электромагнитов включения и отключения. Измерение производится со всеми присоединенными аппаратами цепей управления, защиты и сигнализации мегаомметром на напряжение 500-1000 В. Сопротивление изоляции не должно быть менее 1 МОм.

     

    Методика измерения сопротивления изоляции изложена в испытание изоляции электрооборудования повышенным напряжением.

     

    Испытание повышенным напряжением повышенной частоты:

    а) изоляции выключателей. Обязательно производится для выключателей напряжением до 35 кВ включительно. Испытание опорной изоляции выключателя, состоящий из многоэлементных изоляторов, повышенным напряжением промышленной частоты выполняется напряжением 50 кВ, прикладываемым к каждому элементу изоля тора. Опорную цельнофарфоровую изоляцию испытывают напряжением промышленной частоты по нормам, приведенным в табл. 2.

     

    Таблица 2. Испытательные напряжения промышленной частоты электрооборудования классов напряжения до 35 кВ

    Номинальное напряжение, кВ

    Испытательное напряжение, кВ

    На заводе изготовителе

    Аппараты, КРУ и КТП

    Перед вводом в эксплуатацию и в эксплуатации

    Фарфоровая изоляция

    Другие виды изоляции

    3

    6

    10

    15

    20

    35

    24

    32(37)

    42(48)

    55(63)

    65(75)

    95(120)

    24

    32(37)

    42(48)

    55(63)

    65(75)

    95(120)

    21.6

    28.8(33,3)

    37.8(43,2)

    49.5(56,7)

    58.5(67,5)

    85.5(108)

    Примечание: Испытательное напряжение для аппаратов и КРУ распространяются как на на их изоляцию относительно земли и между полюсами, так и на промежуток между контактами с одним или двумя (значение в скобке) разрывами на полюс.

     

    Продолжительность приложения нормированного испытательного напряжения 1мин.

     

    б)изоляции вторичных цепей и обмоток электроприемников управления. Испытание проводится напряжением 1 кВ со всеми присоединительными аппаратами в течение 1мин.

     

    Методика испытания повышенным напряжением промышленной частоты приведена в испытание изоляции электрооборудования повышенным напряжением.

     

    а) контактов воздушных выключателей. Измерения выполняются для выключателей всех классов напряжений. Измерению подлежит сопротивление всего тока ведущего контура, а также сопротивление контактных разрывов каждой камеры, отделителя, ножа и т.п. в отдельности. Для измерений применяют микроомметры, двойные мосты или метод ампер-вольтметра. Сопротивления постоянному току контактов должно быть не более допустимых значений, указанных в табл. 3. или заводской документации.

     

    Таблица 3. Наибольшие допустимые сопротивления постоянному току контактов воздушных выключателей

    Тип выключателя

    Номинальное напряжение кВ

    Номинальный ток, А

    Сопротивление, мкОм

    всего контура полюса

    гасительной камеры

    одного разрыва гасителной камеры

    ножа отделителя

    одного разрыва отделителя

    одного дугогасительного устройства

    ВВ-15/600

    15

    600

    120

    -

    -

    -

    -

    -

    ВВН-35/600

    35

    600

    110

    -

    -

    -

    -

    -

    ВВН-35/1000

    35

    1000

    60

    -

    -

    -

    -

    -

    ВВН-110/800-4000

    110

    800

    350

    150

    75

    200

    -

    -

    ВВН-110-2000/4000

    110

    2000

    150

    100

    50

    50

    -

    -

    ВВ-4001-110/600

    110

    600

    500

    200

    100

    250

    -

    -

    ВВ-400 1У

    110

    800

    500

    200

    100

    250

    -

    -

    ВВН-110-6

    110

    2000

    120

    40

    20

    40

    20

    -

    ВВН-154/800-4000

    150

    800

    425

    225

    75

    200

    -

    -

    ВВН-154/2000-6000

    150

    2000

    200

    150

    50

    50

    -

    -

    ВВН-154/800-6000

    150

    800

    425

    225

    75

    200

    -

    -

    ВВН-154/2000-6000

    150

    2000

    200

    150

    50

    50

    -

    -

    ВВН-154/800-6000

    150

    800

    425

    225

    75

    200

    -

    -

    ВВН-154/8

    150

    2000

    160

    60

    20

    60

    20

    -

    ВВН-220-10

    220

    2000

    200

    80

    20

    80

    20

    -

    ВВН-220-15

    220

    2000

    260

    100

    20

    80

    20

    -

    ВВ-220

    220

    1000

    400

    250

    -

    150

    -

    -

    ВВН-220/1000-7000

    220

    1000

    400

    250

    40

    150

    -

    -

    ВВН-220-2000-7000

    220

    2000

    400

    250

    40

    150

    -

    -

    ВВН-35-2

    35

    2000

    60

    -

    -

    -

    -

    -

    ВВУ-35

    35

    2000

    -

    -

    -

    -

    -

    80

    ВВБ-110-6

    110

    2000

    -

    -

    -

    -

    -

    80

    ВВБ-110-31,5/2000

    110

    2000

    -

    -

    -

    -

    -

    80

    ВВБМ-110Б-31,5/2000

    110

    2000

    -

    -

    -

    -

    -

    80

    ВВУ-110-40/2000-04

    110

    2000

    300

    -

    -

    -

    -

    80

    13 ВВБ-150Б-25/2000

    150

    2000

    -

    -

    -

    -

    -

    80

    ВВБ-150Б-31,5/3200

    150

    3200

    -

    -

    -

    -

    -

    80

    ВВБ-220-12

    220

    2000

    300

    -

    -

    -

    -

    80

    ВВБ-220У-15

    220

    2000

    640

    -

    -

    -

    -

    8O

    ВВД-220Б

    220

    2000

    300

    -

    -

    -

    -

    80

    Если измерение величины выше нормируемых, то необходимо произвести ревизию контактов и повторить измерение.

     

    б) обмоток электромагнитов включения и отключения выключателей. Измерение производится с помощью одинарного моста. Значение сопротивлений указывается для каждого типа выключателя согласно табл. 4. или данным завода-изготовителя.

     

    Таблица 17.4. Сопротивление постоянному току обмоток электромагнитов воздушных выключателей

    Тип выключателя

    Соединение электромагнитов фаз

    Напряжение, В

    Сопротивление обмоток, Ом

    ВВН-110, ВВН-35

    ВВН-154, ВВ-220

    ВВУ-35, ВВБ-110-6

    ВВБМ-110, ВВБ-150

    ВВБ-220-12

    ВВД-220Б, ВВУ-110

    Раздельное или параллельное (электромагниты с форсировкой)

    220

    1-я обмотка - 10±1,5

    2-я обмотка - 45±2,0

    Обе обмотки - 55±3,5

    ВВБ-22-У-15

     

    110

    1-я обмотка - 2,4±0,05

    2-я обмотка - 11,3±0,55

    Обе обмотки - 13,7±0,55

    ВВН-110, ВВ-220 ВВН-220

    Раздельное или параллельное

    220

    64

    +3%

    -8%

    ВВН-110, ВВН-154

    ВВН-220, ВВ-220

    Последовательное

    220

    83

    +3%

    -8%

    ВВН-35, ВВН-110 ВВН-154, ВВ-220

    Раздельное или параллельное

    110

    16,3

    +3%

    -8%

    ВВН-110., ВВН-154

    ВВ-220

    Последовательное

    110

    1,68

    +3%

    -8%

    ВВ-35, ВВН-35

    Раздельное

    220

    49

    +1,47%

    -3,92%

     

    в) делителей напряжения и шунтирующих резисторов выключателя. Измерение величины сопротивления постоянному току должны соответствовать нормам. приведенным в табл. 5. или заводским данным.

     

    Таблица 5. Наибольшие допустимые сопротивления постоянному току элементов омических делителей напряжения и шунтирующих резисторов воздушных выключателей

    Тип выключателя

    Сопротивление, Ом

    ВВН-154/800-4000, ВВН-154/2000-6000

    180 000±2%

    ВВН-154/800-6000, ВВ-220

     

    ВВН-220/1000-7000, ВВН-220/2000-7000

     

    ВВН-220-10, ВВН-154-8, ВВН-220-15

    15 000±150

    ВВН-110-6

    150±5

    ВВУ-35

    4,6-0,25

    ВВУ-110, ВВБ-220У-15

    5±0,3

    ВВБ-110-6, ВВБ-220-12

    100

    +2%

    -0,5%

    ВВБМ-110Б-31,5/2000

    50±0,5

    ВВБ-1 50Б-25/2000

    100±0 5

    ВВБ-150Б-31,5/2000

    100±0 5

    ВВД-220Б-40/2000

    50±0,5

     

     

    Рис. 2. Схемы измерения временных характеристик воздушного выключателя с помощью электрического миллисекундомера:

    а - схема измерения собственного времени включения; б - схема измерения собственного времени отключения; в, г - схемы измерения разновременности размыкания контактов; д - схема измерения времени бесконтактной паузы дугогасительной камеры; е - схема измерения времени запаздывания ножа отделителя при отключении выключателя; YAC - включающая катушка; YAT - отключающая катушка; IРГК - контакт первого разрыва; ПРГК - контакт второго разрыва; SB - блокирующая кнопка.

     

    Методика измерений сопротивления постоянному току приведена в испытание изоляции электрооборудования повышенным напряжением.

     

    Измерение временных характеристик при наладке воздушных выключателей про
    изводят при помощи электрического миллисекундомера или светолучевого осциллографа.

     

    Проверка временных характеристик с использованием электрического миллисекундомера осуществляется по схемам рис. 2.

     

    Измерение собственного времени включения и отключения выключателя производят по схемам. показанным на рис. 2 а, б.

     

    Измерение разновременности размыкания контактов дугогасительных камер выполняют по схемам рис. 2 в, г. Если стрелка прибора при измерении по схеме рис. 2 в остается на нуле, то это означает, что либо контакты размыкаются одновременно, либо контакты первого разрыва ( IPГK) размыкаются позднее контакта второго разрыва ( IIРГК). В этом случае необходимо измерения по схеме рис. 2 г.

     

    Блокирующая кнопка SB (рис. 2 в, г) устанавливается под пологом отделителя тока, чтобы при включении ножа отделителя она находилась в замкнутом состоянии, а при отключении - в разомкнутом.

     

    У выключателей с числом дугогасящих разрывов больше двух неодновременность размыкания контактов дугогасительных камер сначала определяется для первого и второго разрывов аналогично описанному, затем для контактов второго и третьего разрывов и т. д. При этом контакты всех разрывов, кроме испытуемой пары, должны быть надежно закорочены.

     

    Измерение бесконтактной паузы дугогасительной камеры (времени, в течение которого контакты дугогасительной камеры находятся в разомкнутом положении) производится по схеме рис. 2 д. Измерение производится отдельно для каждого разрыва.

     

    Измерение времени запаздывания ножа отделителя при отклонении (времени от момента размыкания контактов дугогасительной камеры до момента выхода ножа отде лителя из неподвижного контакта) производится по схеме рис. 2 е.

     

    Шунтирующие сопротивления у дугогасительных камер при измерениях временных характеристик выключателей должны быть отсоединены.

     

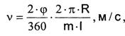
    Измерение скорости движения ножа отделителя осуществляется с помощью вибрографа. На рис. 3 приведена схема установки вибрографа и определения скорости движения ножа отделителя по виброграмме.

     

    Скорость движения конца ножа определяется

    где 1 - отрезок виброграммы, мм, пройденный за время t с; R - длина ножа, м; r радиус сектора вибрографа, м.

    Рис. 3. Схема определения скорости движения ножа отделителя по виброграмме:

    1 - нож в отключенном положении; 2 - нож во включенном положении; 3 - неподвижный контакт отделителя; 4 - сектор, используемый для записи виброграммы; 5 - виброграф.

     

    Отрезок 1 измеряется на виброграмме между нулевыми точками синусоиды. Время t определяется числом периодов, содержащихся в отрезке 1.

     

    Максимальную скорость ножа определяют не том участке виброграммы, где период синусоиды имеет наибольшее значение. Скорость измеряют в момент касания ножом губок. Для этого находят на виброграмме точку, отстоящую от конца на отрезок Н· r/R, где Н - ход ножа в губках. Время движения ножа определяется числом периодов на виброграмме. Аналогичным образом расшифровывается виброграмма отключения. При проверке временных характеристик воздушных выключателей с помощью светолучевого осциллографа для сокращения времени нa обработку осциллографом необходимо использовать осциллограф с ультрафиолетовой записью, а также специальный щиток для управления работой выключателя и осциллографа.

     

    На рис. 4 приведена осциллограмма операции "отключения" выключателя.

    Рис. 4. Осциллограмма работы контактов воздушного выключателя при отключении

     

    По этой осциллограмме можно определить:

    -        собственное время отключения выключателя - от момента подачи команды на отключение (точка а) до момента размыкания последнего контакта дугогасительной камеры (точка в);

    -        разновременность размыкания контактов отделителей - от точки б до точки в;

    -        опережение размыкания контактов дугогасительных камер - от точки в) до момента размыкания первого контакта отделителя (точка г);

    -        разновременность размыкания контактов отделителей - от точки r до точки д; бесконтактную паузу дугогасительных камер - от момента замыкания контактов данной камеры (участок между точками б-в) до первого вибрационного смыкания контактов этой же камеры (точка 1);

    -        длительность вибрации контактов камеры при их смыкании (от точки 1 до точки ж);

    -        длительность отключающей камеры (от точки а до точки и).

     

    На рис. 5. приведена осциллограмма включения выключателя.

    Рис. 5. Осциллограмма работы контактов воздушного выключателя при включении

     

    По этой осциллограмме определяют:

    -        собственное время включения - от момента подачи команды на включение выключателя (точка а) до момента первого вибрационного замыкания контакта отделителя данного полюса (участок б-в);

    -        разновременность замыкания контактов отделителя (участок б-в);

    -        длительность включающей команды (от точки а до точки и).

    При расшифровке осциллограмм масштаб времени определяется из выражения:

    где: Т - период синусоиды отметчика времени (при частоте 50 Гц – Т = 0,02 с, при частоте 500 Гц – T = 0,002 с); n - число периодов, укладывающихся на участке осциллограммы длиной 1.

     

    Скорость движения фотоленты для регистрации изменяющихся во времен велики при использовании светолучевых осциллографов устанавливается примерно равной 2500 мм/с.

     

    Осциллографирование работы воздушного выключателя с ножевым отделителем выполняется так же, как и осциллографирование работы выключателей с воздухонапол ненным отделителем. При этом для определения характеристик движения ножа необходимо использовать специальное приспособление - регистратор хода, один из вариантов которого показан на рис. 6.

     

    Рис. 6. Диск регулятора хода ножа отделителя воздушного выключателя

     

    Регистратор кода представляет собой изолирующий диск Д из текстолита с латунными ламелями Л, вмонтированными в текстолит заподлицо и за крепежными с помощью заклепок 3. Ламели спаяны гибким проводом Г, выведенным на зажим Ж. Ламели и изоляционные промежутки между ними имеют форму одинаковых сегментов с центральным углом φ = 50 . Регистратор хода жестко соединяется с валом ножа, а на приводе отделителя крепится неподвижной пружинящей контакт, который, соприкасаясь с ламелями, периодически замыкает и разрывает цепь вибратора осциллографа.

     

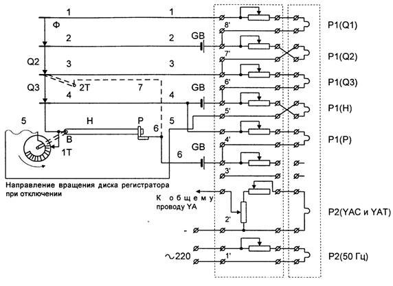
    Схема осциллографирования работы выключателя с ножевым отделителем приведена на рис. 7.

     

    Помимо регистратора хода ножа отделителя при наладке применяется вспомогательный контакт 2Т для фиксации отключенного положения ножа, установленный на нижнем элементе камеры.

     

    Рис. 7. Схема осциллографирования работы воздушного выключателя с ножевым отделителем:

    Ф - фланцы камеры; Н - нож отделителя; В - вал ножа; Р - неподвижный контакт отделителя; С - диск регистратора хода ножа; 1Т - неподвижный контакт регистратора; 2Т - вспомогательный контакт; Q1 - Q3 контактные разрывы камеры; P1, Р2 - вибраторы. Диск регулятора хода ножа отделителя воздушного выключателя

     

    Рис. 8. Осциллограмма отключения воздушного выключателя с ножевым отделителем:

     

    а - осциллограмма с использованием для записи регистратора хода ножа; б - осциллограмма с использованием для записи вспомогательного контакта.

    На рис. 8 представлена осциллограмма отключения выключателя с ножевым отделителем.

     

    На осциллограмме (линия Н) нечетными номерами обозначены участки соприкосновения с неподвижными контактами ламелей регистратора хода, четными - изоляционные промежутки. По этой осциллограмме можно также определить:

    -        время движения ножа от момента выхода из губок до полной остановки (промежуток С);

    -        время от подачи команды на отклонение до полной остановки ножа (промежуток а);

    -        время от подачи команды на отклонение до выхода ножа из губок (промежуток 1);

    -        угол поворота ножа от выключенного положения до момента первого вибрационного смыкания контактов камеры (угол α= φ·n, где φ - угол сегмента ламели и изоляционного промежутка регистратора хода, на рис. 8 - φ = 50);

    -        число ламелей и изоляционных промежутков (n), пройденных ножом определяется по осциллограмме).

    Кроме перечисленных временных характеристик по осциллограмме может быть определена линейная скорость конца ножа на любом участке его движения из выражения

    где R - длина ножа, М; φ - угол сегмента ламели и изоляционного промежутка регистратора хода; 1 - длина отрезка, измеренная на осциллограмме движения ножа, мм; m - масштаб времени на осциллограмме, с/мм.

     

    На осциллограмме (рис. 8, линия Н) скорость ножа, определенная на участке 23 по отрезку l2, является скоростью в момент выхода ножа из губок неподвижного контакта отделителя. Максимальна же скорость имеет место на участке 9-10, длина которого l2 минимальна.

     

    Аналогично по осциллограмме включения выключателя с ножевым отделителем могут быть определены:

    - скорость ножа - максимальную и в момент касания губок неподвижного контакта отделителя;

    - время движения ножа от момента трогания до момента касания или губок; - время от подачи команды на включение до момента трогания ножа;

    - угол поворота ножа от начального положения до момента обрыва тока в электромагните включателя.

     

    Характеристики выключателя, снятые при номинальном, минимальном и максимальном рабочих давлениях при простых и сложных циклах, должны соответствовать данные завода-изготовителя.

     

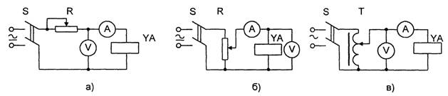
    Напряжение срабатывания электромагнитов управления определяется при максимальном давлении воздуха в банках 2,06 МПа (21,0 кгс/см2) по схемам, приведенным на рис. 9.

     

    Рис. 9. Схемы измерения напряжения и тока срабатывания электромагнитов управления приводов выключателей:

     

    а - с реостатом; б - с потенциометром; в - с автотрансформатором.

     

    Напряжение на электромагниты управления должны подаваться толчком. При необходимости напряжение поднимается на 4÷б В (при отключенных электромагнитах) и вновь подается толчком и т.д. до срабатывания привода выключателя. Затем при неизменном положении движка реостата (ручки автотрансформатора) вместо электромагнита управления включается сопротивление, равное по значению сопротивлению обмотки электромагнита, и по вольтметру определяется напряжение срабатывания. Во избежание повреждения обмоток электромагнитов импульсы следует подавать кратковременно.

     

    Напряжение срабатывания электромагнитов управления должно быть не более б5% номинального.

     

    Испытание выключателя многократным включением и отключением.


    Количество операций выполняемых при разных значениях давления воздуха, приведено в табл. б.

     

    Таблица 6. Количество операций при испытаниях воздушных выключателем многократными опробываниями

    Наименование операций или циклов

    Давление опробования выключателя

    Количество выполняемых операций или циклов

    Включение и отключение

    Цикл В - О

    Минимальное срабатывания

    Минимальное рабочее

    Номинальное

    Максимальное рабочее

    Минимальное срабатывания

    Минимальное рабочее *)

    3

    3

    3

    2

    2

    2

     

    Максимальное рабочее *)

    2

    Цикл 0 - В (АПВ успешное)

    Минимальное для АПВ

    2

     

    Номинальное *)

    2

    Цикл 0 - В - 0 (АПВ неуспешное)

    Минимальное для АПВ

    2

     

    Максимальное рабочее

     

    *) - должны сниматься осциллограммы работы выключателей.

     

    Испытание конденсаторов делителей напряжения воздушных выключателей.

    Испытание производится в соответствии с соответствующими указаниями.

     

    Проверка хода якоря электромагнита управления.

    Ход якоря электромагнитов с формировкой должен быть равен 8-1 мм.

    Проведение периодических проверок, измерений и испытаний воздушных выключателей, находящихся в эксплуатации.

     

    Нормы испытаний воздушных выключателей, находящихся в эксплуатации.

    Проверка и испытание воздушных выключателей производится при контактном и текущем ремонтах, а также в межремонтный период при профилактических испытаниях.

     

    Для воздушных выключателей К, Т, М проводятся в сроки, устанавливаемые системой ППР, по К - не реже 1 раза в шесть лет.

     

    Объем проверок и испытаний, предусмотренных ПЭЭП, включает следующие работы:

     

    1. Измерение сопротивления изоляции.

    а) воздухопроводов, опорных и подвижных частей, выполненных их органических материалов;

    б) многоэлементных изоляторов;

    в) вторичных цепей обмоток включающего и отключающего электромагнитов.

     

    2. Испытание повышенным напряжением промышленной частоты:

    а) изоляции выключателей;

    б) изоляции вторичных цепей и обмоток включающего и отключающего электромагнитов.

     

    3. Измерение сопротивления контактов постоянному току.

     

    4. Измерение сопротивления постоянному току обмоток включающего и отключающего электромагнитов, делителей напряжения и шунтирующих резисторов.

     

    5. Проверка характеристик выключателей.

    6. Проверка срабатывания привода выключателя при пониженном напряжении.

     

    7. Испытание выключателя многократным включением и отключением.

     

    8. Испытание конденсаторов делителей напряжения.

    9. Проверка хода якоря электромагнитов управления.

     

Продолжая пользоваться сайтом, Вы соглашаетесь на обработку файлов cookie в соответствии с пользовательским соглашением и политикой конфиденциальности
Нужен кабель? Оформи заявку бесплатно