Оптимальное управление формованием оболочек волоконно-оптических кабелей как неформализованная задача

Авдеев Б.В., канд. техн. наук, ЗАО НФ "Электропровод",
Мешалкин В.П., д-р техн. наук, Российский химико-технологический университет им. Менделеева,
Стародубцев И.И., Московский энергетический институт (Технический университет)

Рассмотрено состояние автоматизации технологических процессов на российском кабельном предприятии. Анализируются возможности применения математического моделирования для оптимизации экструзии - основного процесса производства волоконно-оптических кабелей. Делается вывод о необходимости рассматривать технологический процесс как единый объект ситуационного управления. Рассмотрены структура и компоненты интеллектуальной автоматизированной системы ситуационного управления.

Кабельное производство в целом является достаточно традиционным, а технология - отработанной. Одним из основных технологических процессов при производстве кабельных изделий является процесс экструзии, который представляет из себя выдавливание, как правило расплавленного, полимера на движущуюся кабельную заготовку. Подробно вопросы, связанные технологией кабельного производства, рассмотрены в [1]. Схематическое изображение экструзионной линии представлено на рис.1. По мере развития технологии кабельного производства совершенствовались методы оптимизации технологических процессов, в т.ч. экструзии. Параллельно проводились научные исследования в области математического моделирования экструзионного процесса. Однако их практическое использование относится только к началу 70х гг. и связано с успехами в области вычислительной техники. Стали коммерчески доступными пакеты для моделирования и анализа отдельных стадий экструзии. Данные пакеты нашли применение на Западе в фирмах-изготовителях оборудования для кабельного производства, полимерных материалов; различных исследовательских центрах [2]. На сегодняшний день у нас нет информации о сколь-нибудь значительных исследованиях в данной области в России. На кабельном производстве, инструменты поддержки принятия решения практически не используются. Это касается всех аспектов производственного цикла: подбора материалов, технологических режимов и оснастки и т.д. До определенного момента такой уровень технической оснащенности удовлетворял потребности производства.

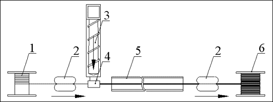
Экструзионная линия

Рис. 1. Экструзионная линия: 1 - отдатчик, 2 - тяговое устройство, 3 - экструдер, 4 - голова (формующий узел) экструдера, 5 - ванна охлаждения, 6 - приемник.

Ситуация изменилась с появлением более высоких точностных требований к экструзионному процессу, относящихся к новым областям применения, в том числе к производству волоконно-оптических кабелей, что потребовало с одной стороны освоения кабельщиками новых областей знаний, а с другой - пересмотра подходов к традиционным кабельным технологиям. Последнее обстоятельство связано с переходом на оптические частоты (микронный диапазон длин волн) и соответственно на "микронные требования" к геометрическим (точностным) параметрам основных элементов конструкции, которые не могут быть обеспечены простым наращиванием точности задания и поддержания параметров экструзионного процесса.

Передающим трактом и основным элементом волоконно-оптических кабелей являются оптические волокна. Оптическое волокно представляет собой кварцевый волоконный световод в двухслойном первичном полимерном покрытии. Необходимо подчеркнуть, что для любых типов оптических волокон характерна высокая чувствительность к воздействию ряда факторов (климатических, механических и т.д.), что исключает использование оптического волокна как такового, без вспомогательных элементов, и обусловило появление концепции разработки и производства волоконно-оптических кабелей, в корне отличающейся от таковой для традиционных кабельных изделий. Конструкция волоконно-оптического кабеля, а точнее главного элемента - сердечника, обеспечивает работу оптического волокна в диапазоне различных внешних нагрузок и условий: климатических, механических и т.д. Решающую роль при этом играет величина избыточной длины оптического волокна, а, следовательно, такие свойства вторичной полимерной оболочки как: послеэкструзионная усадка, степень кристалличности и т.д. Следует учитывать, что после отпрессовки в течение некоторого интервала времени происходят релаксационные процессы, продолжительность и результат которых зависят от внешних условий, и в значительной степени определяют характеристики готового изделия. Более того, свойства оптического кабеля могут меняться в процессе эксплуатации, т.е. изделие "живет".

На практике решение задачи изготовления изделия с заданным набором свойств сводится к следующему. Для каждого случая новой конструкции или небольшой модификации, необходимости изменения свойств изделия (к примеру, рабочего температурного диапазона и т.д.), применения нового материала (не обязательно типа материала, это может быть просто новая модификация, к примеру, та же марка, но другого производителя), на основе нескольких предельно простых соотношений рассчитываются параметры формующего инструмента. Подбор режимов экструзии и охлаждения изделия проводится эмпирически и на основе некоторых, достаточно очевидных, рассуждений. Изготовленное изделие подвергается определенному набору контрольных операций и испытаний. При необходимости те или иные параметры и режимы корректируются. Таким образом, процедура оптимизации, являющаяся по сути итерационной, продолжается до достижения или, как происходит достаточно часто, до выяснения невозможности достижения необходимого результата. Блок-схема процедуры принятия решения представлена на рис.2. В условиях жесткой конкуренции между производителями чрезвычайно важно минимизировать время реакции на запрос потребителей. В этой связи следует отметить, что процедура принятия решения - длительная, поскольку варьироваться могут не только технологические режимы, но и параметры оборудования и формующего инструмента. Особенно продолжительный характер могут иметь испытания связанные с надежностью, без которых, кстати, в ряде случаев, невозможна корректировка параметров и режимов процесса.

Блок-схема процедуры принятия решения

Рис.2. Блок-схема процедуры принятия решения.

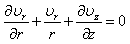
Подход к проблеме может быть в значительной степени усовершенствован применением адекватных реальному процессу математических моделей. Действительно, в области математического моделирования достигнуты значительные успехи, существуют и модели и программные продукты на их основе позволяющие "описывать" отдельные составляющие экструзионного процесса. Ряд исследователей среди этих под-процессов выделяет движение и плавление полимера в шнеке экструдера (по степени важности) и такой подход обусловил появление таких пакетов как EXTRUCAD [3], REX [4] и т.д. Авторы считают наиболее важным рассмотрение процессов, происходящих в голове экструдера, в его формующей части. Процесс наложения оболочки на заготовку условно показан на рис.3, ниже приведены базовые уравнения сохранения, которые для решения дополняются "моделью поведения" полимера, временными (начальными) и граничными условиями. Среди пакетов, ориентированных на решение подобного класса задач для традиционного кабельного производства (т.е. в этих оболочках исключена возможность реализации такого объекта как оптическое волокно), можно выделить POLYFLOW [5], POLYCAD [6] и FIDAP [7]. Достаточно подробно уравнения, описывающие движение и плавление полимеров в каналах различной формы, и методы их решения рассматриваются в ряде источников, к примеру [8].

Схема формующего канала

Рис. 3. Схема формующего канала, образованного дорном и матрицей: R0 - радиус заготовки, RC - радиус кабеля, h - толщина оболочки

Уравнение неразрывности:

(1)

Уравнения движения:

(2)

Уравнение сохранения энергии:

(3)

, где υγ, υz - компоненты скорости; P - давление; τγγ, τγz, τzz, τθθ - компоненты тензора напряжения сдвига; ρ - плотность; Cp - удельная теплоемкость; T - температура; k - коэффициент теплопроводности.

Современные CFD - программные продукты (CFD - Computational Fluid Dynamics, компьютерная гидродинамика) являются мощным инструментом в руках инженера-технолога, однако даже они являются достаточно ограниченными, поскольку они ориентированы на решение небольших составляющих реальных задач. Важно также помнить о проблеме адекватности самих математических моделей, лежащих в основе программного обеспечения. Следует отметить, что рассмотренные выше продукты предназначены для инженеров-технологов - стратегическим инструментом, но никак не инструментом поддержки принятия оперативных решений, каковым, кстати, не является и программное обеспечение, которым ведущие производители оборудования для производства оптических кабелей укомплектовывают технологические линии, поставляемые в Россию (несмотря на хорошо решенную проблему человеко-машинного взаимодействия).

Как следует из вышеизложенного, экструзионный процесс является многопараметричным и достаточно сложным. В таком случае уместно поставить вопрос: каким образом до сих пор на российских кабельных предприятиях удавалось выпускать весьма качественную продукцию, удовлетворяющим жестким международным стандартам? - Благодаря накопленному опыту. И не случайно многими авторитетными авторами дальнейшее развитие CAD/CAE/CAM (Computer Aided Design, Engineering, Manufacturing - системы автоматизированного проектирования, автоматизированные системы управления предприятием) - систем связывается с применением интеллектуальных систем, в частности, с экспертными системами [2]. Носителями производственного опыта на каждом предприятии являются вполне конкретные специалисты. Причем форма, в которой этот опыт проявляется (к примеру, "…в данном случае необходимо немного переместить вперед дорн относительно матрицы…" или "…необходимо на 5 10 повысить температуру в зоне сжатия…"), в известной степени определяет и инструмент для его архивирования и использования - продукционные экспертные системы. Следует обратить внимание на то, что специалист не знает точных величин корректирующих воздействий, а оперирует семантикой размытой логики "приблизительно", "около", "чуть-чуть" и т.д. Однако он знает что необходимо корректировать (как говорится "за какую ручку дергать"), и это дает возможность в ряде случаев достигать желаемого, хотя и практически наверняка - не оптимального, результата. Очевидно, что в случае такой высокотехнологичной и дорогостоящей продукции как волоконно-оптический кабель, цена ошибки или нерационального решения может быть очень велика.

Одной из первых, коммерчески доступных экспертных систем, ориентированных на полимерную экструзию (не только в кабельной промышленности), является XTRU-XPERT [9] производства компании POLYDYNAMICS INC. (Канада), интерфейс которой показан на рис.4. Эта экспертная система призвана имитировать рассуждения эксперта и выступает в роли советчика для диагностики, анализа и решения проблемы: неисправности оборудования или дефекта готовой продукции (износ шнека, блокировка расплава, дефект оболочки типа "апельсиновая кожура" и т.д.). Построение - блочное: т.е. наряду с непосредственно интеллектуальной частью (Extrusion Defects & Troubleshooting) присутствуют вспомогательные блоки (см. рис. 4). Подробную информацию можно найти в соответствующих источниках [10].

Интерфейс экспертной системы XTRU-XPERT (POLYDYNAMICS INC., Канада)

Рис. 4. Интерфейс экспертной системы XTRU-XPERT (POLYDYNAMICS INC., Канада).

Тут следует оговориться, что приведенные ранее рассуждения относились к отдельно взятому экструзионному процессу, "выхваченному" из производственного цикла, что, безусловно, проблему не исчерпывает. В технологическом маршруте необходимо учитывать результаты предыдущих операций и даже корректировать отклонение. При попытке же описать процесс в комплексе от поступления заказа на предприятие до выпуска готового изделия и прогнозирования его эксплуатационных свойств, неизбежно столкновение с многомерной и сложной математической моделью при низкой точности и неполноте исходной информации и неоднозначности критерия управления. Это и явилось исходной посылкой для классификации производства волоконно-оптических кабелей как организационно-ситуационного объекта. Принятие управляющих решений для организационно-ситуационных объектов осуществимо на основе теории искусственного интеллекта и ситуационного управления, а также принципов разработки экспертных систем, обеспечивающих переработку неформализуемых знаний проблемной области [11].

В основе ситуационного управления лежит использование логико-лингвистической модели объекта, которая формально представляется кортежем:

где A - алфавит; С - правила построения выражений, синтаксис языка; T - множество начальных формул (аксиом); Р - правила вывода. Элементами А являются лингвистические переменные, которые представляются словами или фразами естественного языка, отображающими понятия и свойства проблемной области Лингвистические переменные представляются в виде:

где F - некоторое свойство объекта (атрибут); I - значение лингвистической переменной.

Примерами лингвистических переменных для технологии производства волоконно-оптических кабелей является "состояние нагревателя", принимающая значения: "включен", "выключен", "неизвестно". Тогда выражение "нагреватель включен" соответствует значению лингвистической переменной <состояние нагревателя (включен)>. Лингвистическая переменная "состояние раскладки" принимает значения "плохое", "удовлетворительное", "хорошее". Логико-лингвистическая модель позволяет формализовать декларативные знания о структуре и процессах функционирования организационно-ситуационного объекта и вырабатывать управляющие решения на основе процедур логического вывода, переработки знаний, обучения и обобщения. Для этого используются модели представления знаний в виде фреймов, семантических графов и предикатов.

Интеллектуальной автоматизированной системой ситуационного управления (ИАССУ) называют систему управления организационно-ситуационными объектами, в которых вывод управляющих решений осуществляется в интеллектуальном диалоге с лицом принимающим решение (ЛПР) как на основе переработки декларативных знаний о сущности процессов функционирования объекта, так и с использованием данных и процедурных знаний. Функциональная структура ИАССУ может быть представлена следующим кортежем:

где B - база знаний; M - блок вывода управляющих решений; D - блок анализа ситуаций; Y - блок вывода управляющего решения; S - блок анализа ситуации; J - лингвистический процессор; H - компонента объяснений.

Функциональная структура интеллектуальной автоматизированной системы ситуационного управления представлена на рис. 5 [11].

Функциональная структура интеллектуальной автоматизированной системы ситуационного управления

Рис. 5. Функциональная структура интеллектуальной автоматизированной системы ситуационного управления: ЛПР - лицо, принимающее решение; БПЗ - блок преобразования знаний; БО - блок объяснения; БВУ - блок вывода управляющего решения; БАС - блок анализа ситуации; БЗ - база знаний; БМ - блок моделирования; БД - база данных; БОД - блок обработки данных; ЭЛ - экструзионная линия; d - потоки данных; z - потоки знаний; u - потоки управляющих решений.

В явном виде в производстве оптических кабелей не реализован ни один из компонентов будущей системы. Однако, имеющаяся в наличии нормативная, техническая и справочная документация, охватывает практически весь спектр выпускаемой серийной продукции, используемого оборудования, материалов и компонент. На основе качественной информации, при значительных усилиях по ее анализу и систематизации, может быть создана первая часть базы данных "D" (в настоящее время вся вышеупомянутая документация представлена и используется исключительно на бумажных носителях). Другая часть базы "D" должна содержать:

  1. исходную, для технологического процесса, информацию: результаты выполнения предыдущих технологических операций, часть которых может быть извлечена из базы данных информационного сопровождения производства, как то достигнутые коэффициенты затухания на рабочих длинах волн, а также геометрические параметры кабельной заготовки, информация о материалах и компонентах использованных на предыдущих операциях и т.д.;

  2. результаты решения задач по выбору параметров и режимов технологического процесса, к примеру, для экструзионного процесса должны быть приведены: ссылка на перерабатываемый полимер (исчерпывающая информация о котором должна содержаться в первой части базы), температурные режимы работы экструдера, рабочая скорость линии, частота вращения шнека, параметры формующего инструмента, температура воды в ваннах охлаждения и т.д.;

  3. фактографическую и числовую информацию, поступающую с технологического оборудования (экструзионной линии, крутильной машины и т.д.), сюда может быть включена разнообразная вспомогательная информация: замечания об особенностях процесса или внешней среды и т.д. (температура в помещении, неполадки или проблемы с оборудованием и т.д., то есть все те факторы, которые в результате могут оказать влияние на параметры изделия);

  4. ретроспективные данные, позволяющие ИАССУ решать задачи прогноза ситуации и состояния экструзионной линии, параметров качества готовой продукции;
    и т.д.

База знаний "B" должна включать все программно реализованные фреймы, отображающие декларативные знания о технологических маршрутах производства волоконно-оптических кабелей, технологическом оборудовании, а также о сущности физико-химических процессов, протекающих в процессе производства, и о целях управления.

Существенным отличием ИАССУ от традиционных АСУ является принцип работы блока математических моделей - "М". Задачи из "М" решаются по запросу из базы знаний, при необходимости генерации соответствующих новых знаний и данных. Это может быть обеспечено наличием в базе фреймов, описывающих знания о математических моделях, условиях их применения и выходных данных, получаемых при решении.

Поиск решений в ИАССУ обеспечивается блоком анализа ситуаций "S" и блоком вывода управляющих решений - "Y", которые составляют двухэтапную процедуру смыслового, или логического, вывода, реализуемого в блоке вывода "R". Выделение процедур вывода управляющих решений и анализа ситуаций в самостоятельные блоки дает возможность программно реализовать в ИАССУ различные стратегии вывода решения. В результате этого в ИАССУ знания отделяются от способа их переработки, что позволяет качественно изменять и настраивать эвристический алгоритм функционирования ИАССУ при изменении производственной ситуации. В результате работы ИАССУ для инженера-технолога и оператора генерируются рекомендации по подбору параметров и режимов процесса, управлению технологическим оборудованием, которые могут быть представлены в виде фраз и текстов на ограниченном естественном языке. Например, при использовании материалов с низкой вязкостью, ИАССУ может рекомендовать инженеру-технологу использовать вакуумирование, регулировать расположение дорна относительно матрицы и расстояние от торца матрицы до охлаждающих струй воды - при необходимости изменить степень обжатия оболочкой кабельной заготовки.

Целесообразно для устранения у ЛПР сомнений в правильности сгенерированного ИАССУ, на основе переработки знаний и данных, управляющего решения реализовать блок объяснения - "Н", который бы формировал описание хода рассуждений при выводе. Общение специалиста и ИАССУ может быть осуществлено с помощью лингвистического процессора, обеспечивающего общение на ограниченном естественном языке.

В перспективе, реализация рассмотренной выше системы в полном объеме позволит передать автоматизированной системе значительную часть функций по подбору параметров и режимов, управлению и оптимизации технологических процессов.

СПИСОК ЦИТИРУЕМЫХ ИСТОЧНИКОВ:

1. Григорьян А. Г., Дикерман Д. Н., Пешков И. Б. Производство кабелей и проводов с применением пластмасс и резин. - М.: Энергоатомиздат, 1992.
2. Vlachopoulos J. Recent Progress and Future Challenges in Computer-Aided Polymer Processing Analysis and Design. - ATV-Semapp Meeting, Funen, Odense, Denmark, 1998.
3. EXTRUCAD, POLYDYNAMICS INC., Hamilton, Ontario, Canada.
4. REX, Institut fur Kunststofftechnologie, University of Paderborn, Paderborn, Germany.
5. POLYFLOW, FLUENT INC., Louvain-La-Neuve, Belgium.
6. POLYCAD, POLYDYNAMICS INC., Hamilton, Ontario, Canada.
7. FIDAP, F.D.I, Evanston, IL, U.S.A.
8. Mitsoulis E. Finite Element Analysis of Wire Coating. - Polymer Engineering and Science, 1986, v.26, n.2.
9. XTRU-XPERT, POLYDYNAMICS INC., Hamilton, Ontario, Canada.
10. Software for Plastics Processing Analysis and Design. Polydynamics Inc. 1998.
11. Мешалкин В. П. Экспертные системы в химической технологии. - М.: Химия, 1995.

Продолжая пользоваться сайтом, Вы соглашаетесь на обработку файлов cookie в соответствии с пользовательским соглашением и политикой конфиденциальности
Нужен кабель? Оформи заявку бесплатно