О наложении бронепокровов волоконно-оптических кабелей, выполненных из гофрированной стальной ламинированной ленты

Авдеев Б.В., канд. техн. наук, ЗАО НФ "Электропровод", Стародубцев И.И., аспирант, Московский энергетический институт (Технический университет)

Несмотря на продолжающееся бурное развитие систем волоконно-оптической связи основную номенклатуру волоконно-оптических кабелей можно считать сложившейся. Однако в технологии их изготовления остается еще достаточно проблем, одной из которых - наложению бронепокровов из гофрированной стальной ламинированной ленты и посвящена данная статья.

Не вдаваясь подробно в события, которые произошли на рынке оптических кабелей за почти что двадцатилетнюю историю их серийного производства в СССР и в России, отметим, что сегодня насчитывается более десяти динамично развивающихся предприятий. Некоторые из них являются совместными предприятиями с признанными авторитетами отрасли волоконно-оптической связи - компаниями "Lucent", "Corning", "Fujikura". Многие из отечественных предприятий оснащены наиболее современным оборудованием из предлагаемого на рынке. Однако и на этих предприятиях, и на предприятиях основанных ранее, оборудование не всегда было оптимизировано под производство конкретных конструкций. Иными словами, иногда вначале закупалось и монтировалось оборудование, а уже затем достигалась ясность относительно номенклатуры и типоразмеров изделий, на которые сориентируется данное предприятие. По этой причине производителям приходится самим осуществлять доработку оборудования, а зачастую проектировать и изготавливать его заново. Это в частности относится и к рассматриваемому в данной статье предмету - наложению бронепокровов, выполненных из стальной гофрированной ламинированной ленты. Более подробную информацию можно почерпнуть в соответствующих источниках [1].

Номенклатура выпускаемых в России оптических кабелей охватывает практически весь спектр из ныне существующих конструкций, за исключением ряда конструкций подводных кабелей, конструкций на основе профилированных сердечников и на основе волоконных лент. В некотором приближении структура российского рынка волоконно-оптических кабелей может быть проиллюстрирована на приведенной ниже диаграмме, см. рис.1.

Оценочная структура российского рынка волоконно-оптических кабелей

Рис.1. Оценочная структура российского рынка волоконно-оптических кабелей.

Тип 1 - магистральные оптические кабели с бронепокровами из круглых стальных проволок, Тип 2 - городские кабели с бронепокровами из гофрированной стальной ламинированной ленты, Тип 3 - подвесные оптические кабели, где роль силового элемента выполняют арамидные нити, Тип 4 - остальные типы кабелей (простейшие типы городских и внутриобъектовые).

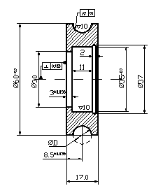
Естественно, что по мере завершения строительства основных кабельных магистралей, потребление будет смещаться в сторону "местных" (городских и внутриобъектовых) оптических кабелей, в том числе в сторону кабелей, предназначенных для прокладки в коллекторах и кабельной канализации, с бронепокровами, выполненными из стальной ламинированной гофрированной ленты, см. рис.2 [2].

Конструкция кабеля с бронепокровом из стальной ламинированной гофрированной ленты

Рис.2. Конструкция кабеля с бронепокровом из стальной ламинированной гофрированной ленты.

В процессе производства, прокладки и эксплуатации волоконно-оптические кабели подвергаются различным внешним воздействиям: механическим, климатическим, биологическим и т.д. Ниже сформулированы некоторые требования, предъявляемые к механическим свойствам кабелей, в том числе и кабелей рассматриваемого типа [3].

  • стойкость к растягивающим и раздавливающим усилиям;
  • стойкость к статическому гидравлическому давлению;
  • стойкость к изгибам;
  • стойкость к перемоткам;
  • стойкость к осевым кручениям;
  • стойкость к удару твердой массой и т.д.

Помимо требований к механическим свойствам к волоконно-оптическим кабелям, предъявляются требования по стойкости к климатическим воздействиям, требования по надежности и т.д. В данном случае приведены требования, выполнение которых обеспечивается использованием в качестве протектора - гофрированной стальной ламинированной фольги. Чаще используется фольга марки "Zetabon", фирмы "The Dow Chemical Company" (США). Хотя известны и другие поставщики данного комплектующего: например, Mitsubishi Corp., Nippon Steel и т.д. Остановимся на структуре и свойствах стальной фольги как таковой. Протектор данного типа представляет собой сталь с обеих сторон покрытую адгезионно сцепленным с ней этиленовым сополимером [4]. В качестве стальной основы применяется низкоуглеродистая сталь с электролитическим хромовым покрытием, подвергнутая отпуску для придания ей лучшей формуемости. К несомненным преимуществам использования данного типа протектора можно отнести следующие [5]:

  • обеспечение механических свойств, сочетающих прочность стали с эластичностью полимерной оболочки кабеля;
  • возможность (в сочетании с гидрофобными заполнителями или водоблокирующими материалами) обеспечения водонепроницаемости в продольном и поперечном направлениях;
  • защита от коррозии;
  • защита от повреждений грызунами;
  • предотвращение усадки оболочки и усталостного разрушения в местах сращивания кабеля;
  • возможность обнаружения кабеля;
  • возможность контроля целостности оболочки кабеля;

Для волоконно-оптических кабелей, как правило, используется фольга шириной, лежащей в диапазоне приблизительно от 25 до 50 мм, с толщиной стальной основы 155 мкм (или 115 мкм) и слоев сополимера - по 50 мкм с каждой стороны. Общая толщина материала протектора составляет приблизительно до 250 мкм. Дискретный ряд типоразмеров фольги по ширине отсутствует - технология позволяет "нарезать" фольгу той или иной ширины под конкретный заказ. Более подробная информация о свойствах стальной ленты приведена в соответствующей рекламно-технической документации [4, 5].

В процессе изготовления волоконно-оптический кабель проходит несколько обособленных технологических процессов. Наиболее часто к моменту наложения протектора изделие представляет собой скрутку из оптических модулей вокруг центрального силового элемента в первой полимерной оболочке. Такая структура называется сердечником волоконно-оптического кабеля. Возможны и иные варианты сердечников кабелей, например, с центральной трубкой и т.д. Для получения готового изделия необходимо нанести протектор из фольги и поверх него вторую оболочку. По причинам, изложенным ниже, эти два процесса совмещаются в один, на первом этапе которого осуществляется гофрирование фольги.

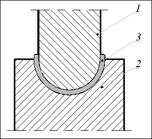
Фольга гофрируется для обеспечения гибкости кабеля, которая нормируется минимальным радиусом его изгиба R (см. рис. 3). Для большинства конструкций эту величину устанавливают равной 20 диаметрам кабеля. При этом определяющую роль играют глубина и профиль гофрирования. Очевидно, что глубина гофрирования фольги должна быть хотя бы в несколько раз больше ее толщины. С другой стороны необходимо, по возможности, минимизировать диаметр изделия и расход стальной ленты. Учитывая эти два соображения, оптимальной высотой гофры δ считается величина около 0,8 мм [6].

К вопросу о выборе профиля гофрирования стальной ленты

Рис.3. К вопросу о выборе профиля гофрирования стальной ленты, где:

D - диаметр по протектору, δ - высота гофры, R - радиус изгиба.

Из рис. 3 видно, что геометрически максимальная продольная гибкость кабеля обеспечивается треугольным профилем гофрирования, смежные участки которого могут "полностью сомкнуться" при изгибе. По очевидным причинам такой профиль оказывается недостижимым - реально получается некоторая гладкая кривая. Желание снизить трение между гофрирующим инструментом и фольгой, при неизменности толщины последней в отгофрированном состоянии, приводит к мысли об использовании эвольвентного профиля.

Прямой расчет показывает, что относительное геометрическое уменьшение длины ленты в результате гофрирования в зависимости от профиля составляет от ~67% (прямоугольный профиль) до ~55% (треугольный профиль). Т.е. из 1 км фольги можно было бы изготовить от 0,33 до 0,45 км кабеля. Поскольку, как правило, профиль фольги - гладкая кривая, то реально получаемая величина геометрического укорочения лежит приблизительно в середине упомянутого диапазона (~60%). Однако, на практике получаемые длины кабеля, оказываются зачастую равными и даже большими, чем исходная длина гладкой фольги. Поэтому, уместно рассмотреть и механизмы "удлинения" при гофрировании фольги.

Перегнем ленту толщиной h через круглый зуб с радиусом R на угол α (см. рис.4). При некоторых рассуждениях можно считать, что средняя линия фольги при исходной длине αR вытянется до длины α(R+1/2·h). Таким образом, относительное удлинение фольги по средней линии в данном случае составляет (1/2·h/R).

К рассмотрению механизмов удлинения фольги

Рис.4. К рассмотрению механизмов удлинения фольги - удлинение за счет профиля гофрирующих колес, где: α - угол изгиба, R - радиус изгиба, h - толщина ленты.

Несмотря на значительную условность подхода в отношении профиля гофрирующих роликов, допущения отсутствия проскальзывания между ними и фольгой и т.д. приведенная выше формула при заданных h=155 мкм, R=0,3 мм дает величину относительного удлинения фольги при данном механизме - 26%. Полученной величины явно недостаточно для вышеупомянутой компенсации геометрического укорочения, поэтому необходимо рассмотреть другие механизмы удлинения.

Рассмотрим несколько случаев, при которых варьируются диаметры гофрирующих роликов. В случае, когда они одинаковы и их диаметр мал (см. рис. 5a, [7]), гофрирование производится только одним зубом и одним пазом на линии, соединяющей оси роликов. При этом нехватка длины компенсируется за счет того, что соседние участки оказываются незажатыми и избыточная длина поступает непосредственно "с отдатчика", т.е. гофрирование роликами небольшого диаметра происходит за счет изгиба фольги и вытягивание фольги минимально. В случае одинаковых роликов большего диаметра (см. рис. 5b, [7]) компенсация недостающей длины за счет соседних участков затруднена, так как они оказываются плотно зажатыми. Избыточная длина в этом случае - результат вытягивания фольги. Таким образом, гофрирование фольги роликами большего диаметра происходит за счет ее вытягивания, и чем больше диаметр, тем больше удлинение. Ситуация, при которой диаметры роликов отличаются (один из них меньше другого) должна быть оценена по ролику меньшего диаметра. Итак, если при гофрировании 1 км гладкой фольги мы получим 1 км гофрированной, то геометрическое укорочение (~60%) компенсируется удлинением за счет перегиба (~26%) плюс удлинением (~34%) при гофрировании роликами выбранного диаметра. На практике при гофрировании ламинированной фольги общей толщиной 250 мкм до высоты гофры δ~0,8 мм (рис. 3) роликами с диаметром ~70 мм с зубом эвольвентного профиля изменения длины почти не наблюдается.

Удлинение за счет диаметров гофрирующих роликов

Рис.5. Удлинение за счет диаметров гофрирующих роликов [7], где: стрелки указывают направление вращения роликов и движения фольги.

Процесс последующего формования уже отгофрированной ленты происходит в поперечном направлении и сводится к показанному на рис. 6.

Последовательность шагов формования гофрированной фольги

Рис.6. Последовательность шагов формования гофрированной фольги, где:

B - ширина фольги, Δ - ширина зазора для укладки сердечника, R - радиус профиля фольги после первичного формования

Как видно из приведенного рисунка на этапе первичного формования гофрированная фольга шириной B сгибается до формы незамкнутой окружности радиуса R (формула для расчета приведена ниже) с "зазором" шириной Δ, в который укладывается сердечник вместе с водоблокирующим или водопоглощающим материалом. Далее зазор постепенно уменьшается до смыкания краев ленты, формируется участок перекрытия одного края поверх другого, а при вторичном формовании диаметр протектора уменьшается до плотного облегания заготовки. Завершающая стадия процесса - нанесение полимерной оболочки экструзионным методом, при котором происходит сплавление ламинанта ленты и полимерной оболочки, а также краев, образующих нахлест, что обеспечивает необходимую герметичность и водонепроницаемость изделия. Подробно вопросы, связанные с экструзионным процессом в технологии кабельного производства, рассмотрены в [8].

Наиболее очевидным и простым решением для формования гофрированной трубки является использование нескольких последовательно расположенных "конусов", представляющих собой жесткую металлическую конструкцию с отверстием линейно уменьшающегося по длине диаметра. Процесс первичного формования схематично показан на рис. 7.

Конус для первичного формования гофрированной фольги

Рис.7. Конус для первичного формования гофрированной фольги, где:

1 - входной диаметр конуса, 2 - выходной диаметр конуса.

Сразу заметим, что, поскольку входной диаметр конуса больше ширины фольги, загиб ленты вверх и вниз равновероятен и зависит от варианта ее заправки. Целесообразно осуществлять предварительный загиб, который бы задавал преимущественное направление дальнейшей деформации. Для этого, в наиболее простом случае, можно применить протягивание гофрированной фольги через щель на входе прямую, а на выходе с некоторой кривизной (см. рис. 8).

Предварительный загиб фольги

Рис.8. Предварительный загиб фольги, где:

1 - исходная гофрированная фольга, 2 - фольга после предварительного загиба

В конусе для формирования нахлеста на вход конуса помимо гофрированной фольги подается кабельная заготовка. Фольга, продвигаясь как поступательно, так и по образующей поверхности конусного отверстия, загибается вокруг сердечника кабеля. В конусе до участка смыкания ленты устанавливается специальной формы зуб для отгибания одного из краев и заправки его под другой. Сечение конуса с заготовкой и фольгой в месте расположения зуба представлено на рис. 9 для одного из двух возможных вариантов заправки. Заметим, что рассматриваемый вариант инструмента позволяет формовать нахлёст, где правая сторона - сверху (по ходу движения фольги), а левая - снизу, или, наоборот, в зависимости от начальной заправки.

Формирование нахлеста одного края фольги поверх другого

Рис.9. Формирование нахлеста одного края фольги поверх другого, где:

1 - гофрированная фольга, 2 - зуб, 3 - заготовка, 4 - внутренняя поверхность конуса

Использованием аналогичного конуса достигается доведение диаметра протектора до касания оболочки сердечника. Окончательное обжатие заготовки бронепокровом формируется после нанесения на протектор наружной кабельной оболочки и её усадки.

Рассмотренный вариант формования протектора и инструмент для его реализации, хотя и являются наиболее простыми и часто применяются на практике, несвободны от ряда существенных недостатков. Вследствие значительного трения между фольгой и конусным инструментом, помимо сдирания ламинанта и нагрева, наблюдается уменьшение высоты гофры δ (вытягивание гофры). Последнее обстоятельство приводит к уменьшению гибкости кабеля, а это эквивалентно потере части потребительских свойств. Отдельно стоит затронуть проблему сварки фольги, необходимость в которой связана с тем, что строительная длина изготавливаемого кабеля зачастую оказывается больше длины ленты на отдатчике. Учитывая сложность и дороговизну оборудования для сварки ламинированной ленты встык (с восстановлением слоя ламинанта), сварка фольги внахлёст более предпочтительна. Этот вариант не требует специального сложного оборудования. Да и в продукции некоторых поставщиков фольги попадаются участки сваренные внахлёст. Проблема же заключается в том, что в случае применения конусного инструмента в местах сварки фольги, с почти удвоенной толщиной и, следовательно, увеличенной жёсткостью часто наблюдаются дефекты протектора и оболочки, вплоть до обрыва изделия.

Существует достаточное количество других, хотя и несколько более сложных вариантов инструмента и оборудования, где в той или иной степени удается избавиться от перечисленных недостатков. Основная идея заключается в последовательном деформировании гофрированной ленты с помощью роликов, либо комбинаций роликов и конусов, что подробно излагается в патенте на устройство, предназначенное для формования трубки из плоской металлической ленты [9].

Формование производится несколькими парами вертикально расположенных свободно вращающихся роликов, причем сначала достигается необходимая форма краев фольги, а уже потом ее средней части. Такая очередность позволяет согнуть фольгу в почти замкнутую окружность, постепенно уменьшая ширину верхнего колеса. При этом, хотя это и не очевидно, чем больше пар роликов используется, и чем больше их диаметр, тем меньше будет сопротивление движению. Варианты с активным приводом, как совсем уж сложные, мы рассматривать не будем.

Рассуждая о формовании гофрированного материала, важно принимать во внимание анизотропию механических свойств последнего и тот существенный факт, что сгибание стальной ленты вокруг сердечника происходит против созданного гофрированием направления упрочнения (ребер жесткости). В результате, в местах дефектов поверхности фольги (царапин и др.) велика вероятность того, что фольга не согнется по дуге, а просто "сломается". При этом "залом", возникший на n-м шаге гофры, практически наверняка приведет к появлению такого же дефекта на (n+1) шаге и т.д., в принципе, по всей длине изделия. Такие дефекты, в виде достаточно длинных продольных рёбер отчетливо проявляется и на форме полимерной оболочки. Вообще в силу ряда особенностей процесса для него характерны как протяженные, так и периодические (связанные с вращением роликов) дефекты, причины которых могут быть самыми разнообразными: от ошибок при проектировании, до неточностей изготовления и сборки формующего узла. Так продольные рёбра и некруглость протектора (и в целом оболочки) может быть следствием даже небольшого дефекта всего лишь на одном из зубьев гофрирующего ролика.

Рассмотрим основные соображения, которые используются при проектировании роликов для первичного формования гофрированной ленты (первичных роликов). Как показано на рис. 6, для укладки сердечника нужен зазор. На практике форма фольги на выходе из инструмента может несколько отличаться от окружности. Происходит это по вполне понятной причине - даже гладкая, а тем более, гофрированная лента сочетает в себе упругие и пластические свойства, доли которых, вследствие большого количества влияющих факторов, нельзя рассчитать, а можно только определить экспериментально. Некоторые недостатки формования могут быть компенсированы на последующих этапах, некоторые влекут за собой несколько циклов доработки инструмента.

Уместно поставить вопрос о необходимом минимальном количестве пар первичных роликов и можно ли совершить рассматриваемую операцию одной парой. Если предположить такую возможность, с учетом того, что максимальный угол, на который можно согнуть профиль одной парой - π, то форма роликов должна быть приблизительно такой, как показано на рис. 10.

К вопросу о выборе количества пар первичных роликов

Рис.10. К вопросу о выборе количества пар первичных роликов, где:

1 и 2 - верхний и нижний ролики соответственно, 3 - гофрированная лента

При такой форме равенство линейных скоростей в одних точках на поверхности роликов (в точках зацепления), будет сопровождаться их различием (существенным) в других, что вызовет дополнительное трение фольги, и как следствие, дополнительное сопротивление движению, ее вытягивание и нагрев. Строго говоря, постоянство профиля скоростей может быть достигнуто только заменой каждого ролика (верхнего или нижнего) - на несколько, расположенных под разными углами. Известны варианты фирменного оборудования, где для формования каждого из краёв гофрированной ленты применяется пара ортогонально расположенных роликов. Однако и счастливым обладателям этих более сложных систем целесообразно рассмотреть подробнее основные моменты формования и наиболее характерные дефекты, возникающие при использовании нескольких пар последовательно расположенных соосных роликов. Практически оказывается достаточным применять всего три пары первичных роликов с приблизительно равномерно распределенными деформациями (см. рис. 11).

О распределении деформаций между тремя парами роликов

Рис.11. О распределении деформаций между тремя парами роликов, где:

1, 2 и 3 - первая, вторая и третья пары роликов соответственно

Основные идеи, положенные в основу проектирования инструмента и анализ дефектов формования оказываются общими для разных вариантов, поскольку определяются скорее свойствами самой гофрированной ленты. Интересно остановиться на вопросе выбора величины зазора между верхним и нижним роликами. Меньше высоты гофры δ она быть не должна, поскольку при этом будет происходить уменьшение высоты гофры, а это, как было отмечено выше, недопустимо. При увеличении зазора сверх указанной величины, фольга получает возможность сгибаться не по дуге, а по хорде, что может проявиться в виде ранее упомянутых "заломов" по длине протектора и, в итоге, некруглости оболочки кабельного изделия. Таким образом, профили верхнего и нижнего роликов каждой пары должны обеспечивать зазор равным высоте гофры. Можно сделать и ещё один вывод о том, что некруглость оболочки может быть следствием недостаточной глубины гофрирования.

Об одновременности касания фольги верхним и нижним роликами второй пары

Рис.12. Об одновременности касания фольги верхним и нижним роликами второй пары, где:

1 и 2 - верхний и нижний ролики соответственно, 3 - гофрированная фольга, αВ и αН- зона от касания фольги верхним и нижним роликами до ее полной деформации

На рис. 12 показан вид сбоку собранной пары роликов, точнее, второй пары роликов первичной деформации. Зоны от касания ленты верхним и нижним роликами до ее полной деформации обозначены αВ и αН. При неодновременном касании фольги верхним и нижним роликами, будет происходить отгибание уже сформированного первой парой гофрированного профиля вверх (нижний ролик касается раньше) или вниз (верхний ролик касается раньше), что приведет к растягиванию или сжиманию гофры по краям ленты. Последнее проявится в виде характерных периодически повторяющихся дефектов - "бахромы" по краю нахлёста на сформированной трубке протектора. В особенно неблагоприятных случаях дефект края фольги в области нахлёста настолько велик, что проступает на поверхности оболочки кабеля (см. рис. 13). Таким образом, профили рабочих поверхностей роликов и их диаметры должны быть рассчитаны так, чтобы обеспечить при постоянстве межосевого расстояния и зазора одновременность касания. Необходимо также принять во внимание, что аналогичный дефект в виде бахромы по краю нахлёста может быть следствием и неодинаковости глубины гофрирования по краям ленты и пережатием гофры на краю ленты в любой паре роликов.

Иллюстрация дефекта "бахромы" по краю нахлёста

Рис.13. Иллюстрация дефекта "бахромы" по краю нахлёста.

Из рис. 12 видно, что формование фольги происходит в зоне, обозначенной αi. Исходя из необходимости плавной деформации фольги, желательно обеспечить большую зону деформации, что достигается увеличением размеров роликов, т.е. увеличением межосевого расстояния. На практике достаточно межосевого расстояния в 100 мм для оптимальной высоты гофры δ=0,8 мм.

Итак, на "вход" первичных роликов поступает гофрированная лента, поперечное сечение которой на выходе как упомянуто выше представляет собой незамкнутую окружность. При соблюдении условия равномерного распределения деформации между тремя парами, первая пара формует края фольги, а вторая и третья пары - среднюю часть (см. рис. 11). Рассмотрим основные соображения, заложенные в расчет каждой из пар формующих роликов. Первая пара в сборе, а также основные расчетные параметры, представлены на рис. 14.

Первая пара формующих роликов

Рис.14. Первая пара формующих роликов, где:

Rпроф.ниж.1 - радиус профиля нижнего ролика; Rмакс.ниж.1 - радиус нижнего ролика в точке максимума; W - ширина входа в ролик; Rпроф.верх.1 - радиус профиля верхнего ролика; Rмакс.верх.1 - радиус верхнего ролика в точке максимума; H - межосевое расстояние.

Примем для определенности величину зазора равной четверти окружности, тогда:

(1)

где B - ширина гофрированной фольги.

Исходя из приведенных выше рассуждений о величине зазора между роликами:

(2)

где δ - высота гофры.

Необходимо предотвратить смещение ленты влево или вправо, что может привести к искажению формы профиля. К примеру, это можно делать бортиками первого нижнего ролика, расстояние W между которыми следует выбрать приблизительно на 0,2 мм больше исходной ширины фольги:

(3)

Точками касания поверхности фольги на первой паре роликов будут максимумы профилей их рабочих поверхностей. Для первой пары роликов целесообразно выбрать:

(4)

Указанные величины можно рассчитать при выбранном межосевом расстоянии H. Вторая пара формующих роликов представлена на рис. 15.

Вторая пара формующих роликов

Рис.15. Вторая пара формующих роликов, где:

Rпроф.ниж.2 - радиус профиля нижнего ролика; Rмин.ниж.2 - радиус нижнего ролика в точке минимума; Rпроф.верх.2 - радиус профиля верхнего ролика; Rмакс.верх.2 - радиус верхнего ролика в точке максимума; A2 - ширина верхнего ролика; H - межосевое расстояние.

Желая распрямить среднюю часть ленты, при расчете второй пары формующих роликов необходимо заложить некоторый перегиб, который бы компенсировал упругость. Рассчитаем радиус Rпроф.ниж.2.

Из рис. 16 видно, что ширина профиля фольги после первой пары роликов может быть рассчитана по формуле:

(5)

К расчету радиуса профиля нижнего ролика второй пары

Рис.16. К расчету радиуса профиля нижнего ролика второй пары Rпроф.ниж.2, где:

Rпроф.ниж.2 - радиус профиля нижнего ролика; R, l - радиус и ширина профиля фольги после первой пары роликов

Видно, что Rпроф.ниж.2 минимален при точках касания на краях:

(6)

На практике Rпроф.ниж.2 выбирается на 5 - 8 мм больше. При этом точки касания смещаются к центру. Аналогично первой паре радиус профиля верхнего ролика Rпроф.верх.2 на δ меньше чем Rпроф.ниж.2. Для расчета радиусов верхнего и нижнего ролика в точках максимума и минимума составляется система уравнений, одно из которых достаточно очевидно:

(7)

Второе уравнение составляется исходя из требования одновременности касания фольги верхним и нижним роликом. При этом необходимо принимать во внимание радиусы профилей роликов, а также форму фольги после прохождения первой пары. В соответствии с приведенными выше рассуждений о неизвестной упругости гофрированной фольги, ширина верхнего ролика выбирается несколько больше (на 4 6 мм) ширины центральной дуги .

На рис. 17 показана третья пара формующих роликов в сборе.

Третья пара формующих роликов

Рис.17. Третья пара формующих роликов, где:

Rпроф.ниж.3 - радиус профиля нижнего ролика; Rмин.ниж.3 - радиус нижнего ролика в точке минимума; Rпроф.верх.3 - радиус профиля верхнего ролика; Rмакс.верх.3 - радиус верхнего ролика в точке максимума; A3 - ширина верхнего ролика; H - межосевое расстояние.

Третьей парой роликов производится окончательная, на этапе первичной деформации, доработка формы фольги. Можно считать, что края - сформованы, а средняя часть - распрямлена, т.е. последнее, что остается сделать - согнуть середину фольги до необходимого радиуса R (см. рис. 6), т.е.:

(8)

Профиль нижнего колеса образован дугой указанного выше радиуса, развернутой на угол π/2 и дополненной по краям касательными. Рассуждения по поводу радиуса профиля верхнего колеса Rпроф.верх.3, а также его радиуса в точке максимума Rмакс.верх.3 и радиуса нижнего колеса в точке минимума Rмин.ниж.3, полностью идентичны приведенным ранее для первой и второй пары роликов. Исходя из тех же рассуждений, ширина верхнего колеса выбирается:

(9)

Как показано на рис.6, на следующем этапе, после закладки в подготовленный профиль сердечника кабеля, должен быть сформован полностью замкнутый вокруг сердечника протектор, для чего существуют различные подходы и варианты инструмента. Формирование нахлёста и доведение размера до необходимого при помощи конусного инструмента, также как и все недостатки этого метода, рассмотрены выше.

Конусный инструмент является наиболее жестким вариантом инструмента, как в буквальном смысле, так и в смысле требований, предъявляемых к точности изготовления оболочки сердечника кабеля, к высоте гофры. Более "мягкий" вариант формирования нахлёста реализуется применением так называемого "пилота" (см. рис. 18), который изготавливается (сгибается) из стального листа толщины, достаточной для того, чтобы обеспечить всей конструкции необходимое сочетание жесткости и упругости. При прохождении утолщений заготовки или мест сварки фольги пилот должен слегка разгибаться. Толщина листа нержавеющей стали в 1 мм вполне достаточна для изготовления пилота.

Конструкция пилота, где: 1 5 - сечения пилота

Рис.18. Конструкция пилота, где: 1 5 - сечения пилота

При разработке конструкции пилота желательно обеспечить по возможности плавную деформацию фольги с равномерным её распределением по длине. Длина инструмента 200-300 мм практически достаточна для всех типоразмеров изделий.

Сечение пилота на "входе" выбирается исходя из приблизительно известной формы ленты на выходе из блока первичных роликов. Края пилота скрепляются перемычкой, в центре которой располагается кольцо, фиксирующее подаваемую кабельную заготовку. Форма и размеры сечения пилота на выходе выбираются, исходя из известных диаметра заготовки и толщины гофрированной фольги. При этом, очевидно, что протектор будет "недожат" на толщину стального листа, из которого изготовлен пилот (см. рис. 19).

Поперечное сечение пилота на выходе

Рис.19. Поперечное сечение пилота на выходе, где:

1 - фольга, 2 - пилот,3 - заготовка

Форма пилота, особенно ближе к выходу, несимметрична относительно продольной оси, вследствие чего происходит вращение заготовки в процессе её формования. При недостаточном натяжении, в силу случайных возмущений, иногда сильных (например при прохождении места сварки фольги) угол поворота заготовки вокруг оси на выходе из пилота изменяется. Последнее обстоятельство нежелательно, поскольку при этом изменяется положение области нахлеста относительно плоскостей, в которых установлены пары вторичных роликов (конструкцию которых мы ещё обсудим), что приводит к нарушению стабильности процесса. Для предотвращения вращения заготовки вокруг продольной оси можно помимо увеличения натяжения, воспользовавшись формой заготовки на выходе из блока первичных роликов, прижать последнюю сверху дополнительным тяжелым цилиндрическим роликом.

Для расчета поперечных сечений пилота и т.н. "цветка" деформаций фольги, выберем в качестве оси симметрии ось, лежащую в плоскости развертки пилота. Зная форму фольги на входе и выходе и длину пилота, исходя из условия равномерно распределенных деформаций и неподвижности оси, строятся поперечные сечения пилота (см. рис. 20).

Поперечные сечения пилота (1-5 по рис. 18) и цветок деформаций фольги

Рис.20. Поперечные сечения пилота (1-5 по рис. 18) и цветок деформаций фольги.

Для изготовления пилота, по известным его поперечным сечениям вычерчивается развертка, из которой сгибается пилот по специально выточенным для этой цели оправкам. Последние доработки формы пилота осуществляются после пробных протяжек.

Для формирования области нахлёста также весьма эффективно применение пары горизонтальных роликов, несколько более сложных в изготовлении, форма рабочих поверхностей которых представлена на рис. 21. Здесь нужно только учитывать, что форма протектора на выходе этого инструмента несколько отличается от таковой на выходе из пилота.

Формование нахлёста горизонтальными роликами

Рис.21. Формование нахлёста горизонтальными роликами.

Для окончательного доведения диаметра до соприкосновения протектора с поверхностью заготовки снова вспомним о наиболее простом и наиболее грубом конусном инструменте, альтернативой которому является опять же набор из нескольких пар роликов. Профили их формующих поверхностей - соосные полуокружности уменьшающегося радиуса от одной пары к другой, в направлении движения фольги (см. рис. 22). На практике, оказывается достаточным использовать 4 пары роликов с шагом уменьшения диаметра равным приблизительно 0,5 мм.

Ролики окончательной формовки

Рис.22. Ролики окончательной формовки.

Уместно рассмотреть также ряд вопросов, связанных с особенностями изготовления и сборки роликов. Важно отметить, что при протягивании фольги через любой формующий инструмент (будь то щель, конус или ролики), ее движение происходит не только в продольном, но и поперечном направлении (по поверхности формующего инструмента). Исходя из этого, предъявляются особые требования к гладкости формующих поверхностей роликов, а также к точности их изготовления. Рабочие поверхности всех формующих роликов должны быть рассчитаны с точностью ~1 мкм и с шагом не более 100 мкм. Не вдаваясь подробно непосредственно в технологию изготовления роликов, следует указать, что из-за износа режущего инструмента изготовление роликов целесообразно производить как минимум в две стадии - предварительная обработка и окончательная доводка.

Изготовленные ролики в принципе могут быть термообработаны, однако, большой необходимости в этом нет, поскольку ламинированная фольга не оказывает на них сильного воздействия. Однако если термообработка все-таки производится, следует принимать в расчет возникающие при этом деформации.

Требования к посадочным размерам, способы установки роликов выбираются исходя из требования обеспечения минимального трения, точной выдержки их положения в вертикальном и осевом направлении. На рис. 23 проиллюстрирован типичный случай неточной установки роликов в осевом направлении. К чему приводит искажение формы зазора, при котором происходит увеличение его толщины в одних местах и уменьшение в других, мы уже подробно обсудили выше.

Неточная (в осевом направлении) установка роликов

Рис.23. Неточная (в осевом направлении) установка роликов.

Часто, особенно после первых неудачных попыток подобрать нужные параметры, с целью сокращения шагов подбора, возникает желание сделать регулируемыми величины зазора на первичных роликах или величины межосевых расстояний на вторичных. Впоследствии становится ясной несостоятельность таких подходов. Попытки регулирования зазоров первичных роликов изменением межосевых расстояний приводит опять же к искажению формы зазора. Да и сама идея регулирования "на ходу" оказывается несостоятельной из-за большого количества степеней свободы, а также в силу полной невозможности сформулировать алгоритм такой регулировки.

Регулирование межосевого расстояния вторичных роликов скорее всего приведет к эллиптичности готового протектора по тем же причинам. Кроме того, регулировка положения оси хотя бы одного ролика, нарушает соосность остальных. Последнее резко увеличивает деформацию заготовки и сопротивлению её движению (вплоть до обрыва).

Вообще говоря, при необходимости перехода к изготовлению протектора другого типоразмера и соответственно к формованию фольги другой ширины целесообразнее полная смена заранее подготовленного для нового изделия и проверенного комплекта инструмента. Кроме того, варианты инструмента для различных стадий формования протектора могут, хотя и с некоторой осторожностью, применяться в любых комбинациях.

Как это уже отмечено, завершающим этапом формирования протектора из стальной гофрированной ленты является изготовление наружной оболочки кабеля. В процессе прохождения заготовки через голову экструдера происходит спекание материала наружной оболочки с ламинантом стальной ленты и спекание ламинанта в области перекрытия. Последнему обстоятельству должно быть уделено особое внимание, поскольку спекание ламинанта в нахлёсте обеспечивает вместе с наружной оболочкой герметичность и влагонепроницаемость изделия в целом. Сварки ламинанта не произойдёт в случае неплотного прилегания фольги в области нахлёста, возможные причины чего мы подробно рассмотрели выше.

Экструзия кабельных оболочек является достаточно сложным и зависящим от многих параметров процессом, для моделирования которого необходимо использовать помимо соответствующего программного обеспечения и элементы экспертных систем [10]. Это тем более справедливо при совмещении данного процесса с другими, каковым в частности является и процесс формования и наложения бронепокровов волоконно-оптических кабелей, выполненных из гофрированной стальной ламинированной ленты.

 

Авторы выражают искреннюю признательность д.т.н. Боеву М.А. за рецензирование статьи, а также к.т.н. Рязанову И.Б. и к.т.н. Ларину Ю.Т. за ценные замечания и правку рукописи.

СПИСОК ЛИТЕРАТУРЫ:

  1. Пешков И.Б. Кабельная промышленность СНГ и основные научно-технические аспекты ее развития. Электротехника, 1996, №3.

  2. Ericsson Cables AB. Мы соединим вас любыми путями. Материалы семинара, Москва, 1998.

  3. ЗАО НФ "Электропровод". ТУ 16.К12-16-97. Кабели оптические для местных и международных линий связи ВСС России.

  4. The Dow Chemical Company. ZETABON®. Рекламно-техническая документация, 2000.

  5. The Dow Chemical Company. ZETABON®. Защита оптико-волоконных кабелей: стальная броня с покрытием вместо диэлектрика. Рекламно-техническая документация, 2000.

  6. The Dow Chemical Company. Armoring Telecommunication Cables with Coated Steel Tape. Cable Symposium, Moscow, 1997.

  7. WEBER&SCHER MFG. CO., INC. Рекламно-техническая документация, 2000.

  8. Григорьян А.Г., Дикерман Д.Н., Пешков И.Б. Производство кабелей и проводов с применением пластмасс и резин. М.: Энергоатомиздат, 1992.

  9. Karlinski. Apparatus for continuous manufacture of armored optical fiber cable. United States Patent 4,759,487. July 26, 1988.

  10. Авдеев Б.В., Мешалкин В.П., Стародубцев И.И. Оптимальное управление формованием оболочек волоконно-оптических кабелей. Автоматизация и современные технологии, 2000, №7.

Продолжая пользоваться сайтом, Вы соглашаетесь на обработку файлов cookie в соответствии с пользовательским соглашением и политикой конфиденциальности
Нужен кабель? Оформи заявку бесплатно